![]() |
Errata for
by Daniel Zwillinger (Editor-in-chief)
|
NOTES:
ERRATA:
This entry updated before 7 March 2001.
Errata for this book will be maintained at
http://errata.mathtable.com
This entry updated before 7 March 2001.
(Thanks to Richard Hughes for this correction.)
This entry last updated 25 Februrary 2002.
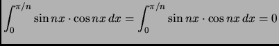
A symbol following one of lesser value has the lesser value subtracted from the larger value (for example, IVThis is incorrect, it should have been, IX
, VM
),
A symbol following one of lesser value has the lesser value subtracted from the larger value. An I is only allowed to precede a V or an X, an X is only allowed to precede an L or a C, and a C is only allowed to precede a D or an M. (For example, IV, IX
, CD
),
This entry updated before 7 March 2001.
(for example, XIVThis is incorrect, it should have been, CIX
, DVL
).
(for example, XIV, CIX
, DXL
).
This entry updated before 7 March 2001.
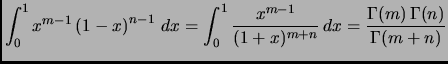
...(also called the falling factorial ... (sometimesThis is incorrect. It should have been) ...
...(also called the rising factorial ... (sometimes) ...
[This brings the description into line with, e.g., D. Knuth, Art of Computer Programming, Vol I, 3rd Edition, Section 1.2.5, Permutations and Factorials, page 50.]
(Thanks to David Gehrig for this correction.)
This entry updated before 7 March 2001.
(Thanks to David Cantrell for these corrections.)
This entry updated before 7 March 2001.
This is incorrect. It should have been (note the exponents on the terms)![]()
(Thanks to Alain Boulanger for this correction.)
This entry updated before 7 March 2001.
This is incorrect. It should have been![]()
(Thanks to Richard E. Stone for this correction.)
This entry updated before 7 March 2001.
This is incorrect. It should have been (note the summation should start at 0, not 1)![]()
(Thanks to Greg Iles for this correction.)
This entry updated before 7 March 2001.
(Thanks to Barry Pasternack for this addition.)
This entry updated before 7 March 2001.
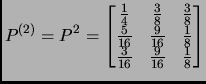
This is incorrect, it should have been![]()
This is incorrect, it should have been![]()
This entry updated before 7 March 2001.
This is incorrect and should be:![]()
(Thanks to Kosa Gabor for this addition.)
This entry updated before 7 March 2001.
positive definiteness:This is incorrect and should be (note that ``for all
,
in
, and
if and only if
.
positive definiteness:for all
,
in
, and
if and only if
.
(Thanks to Paul Stanford for this correction.)
This entry updated before 7 March 2001.
which is incorrect. It should have beenfor
(Fourier sine series)
for
(Fourier sine series)
This entry last updated 5 October 2001.
This is incorrect. It should have been.
.
(Thanks to Catherine Roberts for this correction.)
This entry updated before 7 March 2001.
![]() |
(1) |
![]() |
(2) |
Similarly for Repeated quadratic factors. In other words, the number of equations needed is half the number stated.
(Thanks to David M. Bradley for these corrections.)
This entry updated before 7 March 2001.
The solutions are given byThis is incorrect. It should have been (note the signs),
, and
, where
The solutions are given by,
, and
, where
This entry updated before 7 March 2001.
This entry last updated 25 Februrary 2002.
This is incorrect. It should have been![]()
(Thanks to See Chew for this correction.)
This entry updated before 7 March 2001.
(Thanks to Paul Stanford for this correction.)
This entry updated before 7 March 2001.
X=(B-CEThis is incorrect. It should have been (note the missing)
![]()
X=(B-CED)
![]()
The inverse of amatrix is as follows (defined when
):
![]() |
This entry updated before 7 March 2001.
Only ifThis is incorrect. It should have beenis square and non-singular,
will be unique and
. Otherwise, there will exist infinitely many matrices
that will satisfy the defining relation.
There is a unique pseudoinverse satisfying the conditions in (2.5.26).
If, and only if,is square and non-singular, then
.
(Thanks to Pablo A. Parrilo for this correction.)
This entry updated before 7 March 2001.
(Thanks to Paul Stanford for this correction.)
This entry updated before 7 March 2001.
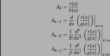
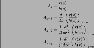
Suppose thatis a permutation with
cycles of length
,
cycles of length
, ...,
cycles of length
in its unique cycle decomposition. Then
can be encoded as the expression
. Summing these expressions for all permutations in the group
, and normalizing by the number of elements in
results in the cycle index of the group
:
This entry updated before 7 March 2001.
This entry updated before 7 March 2001.
(Thanks to Katherine Jane Harine for this correction.)
This entry last updated 25 Februrary 2002.
There are also several other small errors in sections 3.2.8 and 3.2.9.
(Thanks to David Jeffrey for pointing out many errors.)
This entry last updated 5 October 2001.
This is incorrect. This row should have been (look at second to last element)![]()
This entry updated before 7 March 2001.
(Thanks to Joe Rushanan for these corrections.)
This entry updated before 7 March 2001.
(Thanks to L. W. Maxwell for this correction.)
This entry updated before 7 March 2001.
(All angles are measured in radians.)
This entry updated before 7 March 2001.
This is incorrect. It should have been![]()
(Thanks to Gary E. Young for this correction.)
This entry updated before 7 March 2001.
Note the approximation![]()
(Thanks to David F. Rivera for this addition.)
This entry updated before 7 March 2001.
![]() |
![]() |
SettingThis is incorrect, it should have been![]()
Setting![]()
(Thanks to David Cantrell for these corrections.)
This entry updated before 7 March 2001.
This is incorrect. It should say (note![]()
(Thanks to James Seed for this correction.)
This entry updated before 7 March 2001.
A curve parameterized by arclength and such that the curvature is proportional to the parameter at each point is a Bernoulli spiral.This is incorrect. It should say
A curve parameterized by arclength and such that the radius of curvature is proportional to the parameter at each point is a Bernoulli spiral.
This entry updated before 7 March 2001.
A curve parameterized by arclength and such that the curvature is inversely proportional to the parameter at each point is a Cornu spiral (compare the Bernoulli spiral).This is incorrect. It should say
A curve parameterized by arclength and such that the radius of curvature is inversely proportional to the parameter at each point is a Cornu spiral (compare the Bernoulli spiral).
This entry updated before 7 March 2001.
A rotation-reflection (rotation through an anglearound a line
composed with reflection in a plane perpendicular to
).
(Thanks to Jerry Grossman for these corrections.)
This entry updated before 7 March 2001.
This is incorrect. It should have been7.663119
7.663119
(Thanks to David G. Simpson for this correction.)
This entry updated before 7 March 2001.
Four points not on the sameThis is incorrect. It should have been...
Four points not on the same...
This entry updated before 7 March 2001.
This is correct, but could be clarified by writing it as:![]()
(Thanks to Randolph J. Herber for this clarification.)
This entry updated before 7 March 2001.
This is incorrect. It should have been![]()
(Thanks to Richard W. Johnson for this correction.)
This entry last updated 20 September 2001.
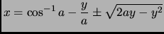
The solutions are:These are incorrect. They should have been (note the last equation on the first line is missing a ``1'', and a slash is missing in the two(furthest), and
(closest).
The solutions are:(furthest), and
(closest).
(Thanks to Bruno Van der Bossche for these corrections.)
This entry updated before 7 March 2001.
This is incorrect. It should have been![]()
(Thanks to Pablo A. Parrilo for this correction.)
This entry updated before 7 March 2001.
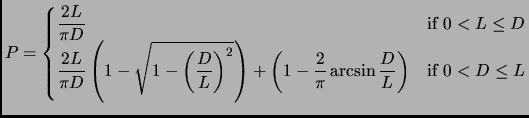
whenThis is incorrect. It should have been![]()
when![]()
This entry last updated 25 Februrary 2002.
![]() |
(5.3.21) |
![]() |
(5.3.21) |
(Thanks to Richard B. Evans for these corrections.)
This entry updated before 7 March 2001.
This is incorrect, it should have been![]()
(Thanks to Richard Finley for this correction.)
This entry updated before 7 March 2001.
IfThis is incorrect, it should have been, then
and other formulae should be used.
If, then
and other formulae should be used.
This entry last updated 25 Februrary 2002.
This is incorrect, it should have been![]()
(Thanks to Jonathan Thomas Bartley for these corrections.)
This entry updated before 7 March 2001.
(Thanks to Guizhong Zhang for this correction.)
This entry updated before 7 March 2001.
This is incorrect and should be (note the upper limit on the second integral):![]()
,
.
![]()
,
.
This is incorrect and should be (note the lower limit on the second integral):,
,
is an odd integer.
,
,
is an odd integer.
This is correct but should have been (note the upper limit on the second integral):,
is an integer.
,
is an integer.
FOOTNOTE: An alert reader will wonder how these errors could have occurred, since the integrals in the 30th edition of this book have been electronically verified. The error occurred in the typesetting of the integrals--not in the electronic verification of the integrals. In this section on definite integrals, there are 11 integrals in which there were two integrals on the same line; in all cases the limits on the first integral were (sometimes incorrectly) printed as the limits on the second integral. This resulted in the errors listed above.
(Thanks to Michael Strauss for this correction.)
This entry updated before 7 March 2001.
(Thanks to Luke Sweatlock for this correction.)
This entry last updated 25 Februrary 2002.
(Thanks to Luke Sweatlock for this correction.)
This entry last updated 25 Februrary 2002.
This is incorrect. It should have been![]()
This is incorrect. It should have been,
,
This is incorrect. It should have been (note the subscript)![]()
This is incorrect. It should have been.
, and
.
![]() |
||
![]() |
![]() |
||
![]() |
This entry updated before 7 March 2001.


(Thanks to Harry Watson of the Naval Warfare Assessment Division (NWAD) for this correction.)
This entry updated before 7 March 2001.
This entry updated before 7 March 2001.
Letbe a state vector, let
be an observable vector, and let
be the control. The vectors
,
, and
have
,
and
components, respectively. If a system evolves as:
then, taking Laplace transforms,where
is the transfer function given by
.
A system is said to be controllable if and only if for any timesand any states
there exists a control
such that
and
. The system is controllable if and only if rank
.
If, givenand
on some interval
, the value of
can be deduced on that interval, then the system is said to be observable. Observability is equivalent to the condition rank
.
(Thanks to Pablo A. Parrilo for this correction.)
This entry updated before 7 March 2001.
(Thanks to Andre D. Bandrauk for these corrections.)
This entry updated before 7 March 2001.
(Thanks to Richard F. Stein for this correction.)
This entry updated before 7 March 2001.
![]() |
![]() |
(Thanks to Richard Hughes for this correction.)
This entry last updated 25 Februrary 2002.
(Thanks to Donal M. Ragan for this correction.)
This entry last updated 25 Februrary 2002.
This is incorrect. It should have been![]()
(Thanks to William Weintraub for this correction.)
This entry last updated 20 September 2001.
(Thanks to Michael E. Kutz for this correction.)
This entry updated before 7 March 2001.
(Thanks to David W. Cantrell for this correction.)
This entry updated before 7 March 2001.
This is incorrect. It should have been![]()
(Thanks to David Lassonde for this correction.)
This entry updated before 7 March 2001.
This is incorrect. It should have been
74 ![]()
74 ![]()
(Thanks to Dale Hinds for this correction.)
This entry last updated 20 September 2001.
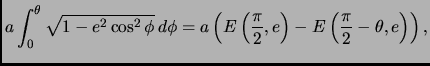
A needle of lengthis placed at random on a plane on which are ruled parallel lines at unit distance apart. Assume that
so that only one intersection is possible. The probability
that the needle intersects a line is
A needle of lengthis placed at random on a plane on which are ruled parallel lines a distance
apart. If
then only one intersection is possible. The probability
that the needle intersects a line is
![]() |
This entry updated before 7 March 2001.
and
They are both incorrect. They should have been![]()
and
(Thanks to Dillard David Ensley for this correction.)
This entry updated before 7 March 2001.
then the variableThis is incorrect. It should have beenis said to possess a uniform distribution
then the variableis said to possess a normal distribution
(Thanks to Ian M. Dew of Pacific-Sierra Research Corp. for this correction.)
This entry updated before 7 March 2001.
(Thanks to Paul Stanford for this correction.)
This entry updated before 7 March 2001.
This is incorrect. It should have beenis the probability that a Markov chain in state
at time
will be in state
at time
.
is the probability that a Markov chain in state
at time
will be in state
at time
.
(Thanks to Harry Watson of the Naval Warfare Assessment Division (NWAD) for this correction.)
Define the-step transition matrix by
as the matrix with entries
Define the-step transition matrix by
as the matrix with entries
(Thanks to Harry Watson of the Naval Warfare Assessment Division (NWAD) for this correction.)
This entry updated before 7 March 2001.
This is incorrect, it should have been![]()
(Thanks to Dennis J. Day for this correction.)
This entry updated before 7 March 2001.
This should have been (note the missing closing parenthesis for the 31-13 entry):
Primitive trinomial exponents (5,2) (7,1) (7,3) (17,3) (17,5) (17,6) (31,3) (31,6) (31,7) (31,13 (127,1) (521,32)
Primitive trinomial exponents (5,2) (7,1) (7,3) (17,3) (17,5) (17,6) (31,3) (31,6) (31,7) (31,13) (127,1) (521,32)
(Thanks to Paul Stanford for this correction.)
This entry updated before 7 March 2001.
This is incorrect. This should have been![]()
This entry updated before 7 March 2001.
...letbe the
th largest of the values (
). Hence
is the maximum of the
values and
is the minimum of the
values. Then
. Hence
...letbe the
th largest of the values (
). Hence
is the maximum of the
values and
is the minimum of the
values. Then
. Hence
This entry updated before 7 March 2001.
...confidence interval forThis is incorrect. It should have beenis given by ...
...confidence interval foris given by ...
This entry updated before 7 March 2001.
(Thanks to Pablo A. Parrilo for this correction.)
This entry updated before 7 March 2001.
Given the pointsThis is incorrect. It should have been (notice the subscripts),
, ...
the ...
Given the points,
, ...
the ...
(Thanks to Harry Watson of the Naval Warfare Assessment Division (NWAD) for this correction.)
This entry updated before 7 March 2001.
(Thanks to Jeffrey D. Oldham for this correction.)
This entry updated before 7 March 2001.
(Thanks to Pablo A. Parrilo for this correction.)
This entry updated before 7 March 2001.
This entry updated before 7 March 2001.
Double integrals of polynomials over polygons
If the vertices of the polygonare
, and we define
(with
and
) then
(Thanks to Joaquin Marin for this addition.)
This entry updated before 7 March 2001.
This entry updated before 7 March 2001.
Mathematica http://www.wri.comWhile this works, a better reference is
Mathematica http://www.wolfram.com
(Thanks to David Gehrig for this correction.)
This entry updated before 7 March 2001.
American Standard Code for InformationThis is incorrect. It should have been![]()
American Standard Code for Information![]()
(Thanks to Alex Fabrikant for this correction.)
This entry last updated 5 October 2001.
is the floor function (greatest integer less than or equal to the argument)
is the ceiling function (least integer larger than or equal to than the argument)
(Thanks to David Cantrell for this correction.)
This entry last updated 25 Februrary 2002.